Tebrikler - Eşitsizlikler Soruları (Test 3) adlı sınavı başarıyla tamamladınız. Sizin aldığınız skor %%SCORE%% en yüksek skor %%TOTAL%%. Hakkınızdaki düşüncemiz %%RATING%%
Yanıtlarınız aşağıdaki gibidir.
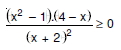
Soru 1
eşitsizliğini sağlayan x tamsayıların toplamı kaçtır?
A
–3
B
–5
C
–8
D
–12
E
–14
Soru 2
eşitsizliğini sağlayan kaç tane x tamsayısı vardır?
A
2
B
3
C
4
D
5
E
6
Soru 3
eşitsizliğini sağlayan x doğal sayılarının toplamı kaçtır?
A
4
B
5
C
7
D
8
E
10
Soru 4
A
A
B
B
C
C
D
D
E
E
Soru 5
A
A
B
B
C
C
D
D
E
E
Soru 6
A
A)
B
B)
C
C)
D
D)
E
E)
Soru 7
eşitsizliğini sağlayan x reel sayılarının toplamı kaçtır?
A
4
B
2
C
–2
D
–3
E
–4
Soru 8
fonksiyonu daima 5 ten büyük olduğuna göre, m nin çözüm aralığı aşağıdakilerden hangisidir?
A
0 < m <8
B
m <0
C
m > 8
D
m < –8
E
m > 1
Soru 9
denkleminin farklı iki reel kökü olduğuna göre, a nın alabileceği kaç farklı tamsayı değeri vardır?
A
7
B
6
C
5
D
3
E
1
Soru 10
eşitsizlik sistemini sağlayan farklı x tamsayıların toplamı kaçtır?