AYT Matematik – Determinant Çözümlü Soruları (Test 1)
Determinant Çözümlü Soruları (Test 1)
Başla
Tebrikler - Determinant Çözümlü Soruları (Test 1) adlı sınavı başarıyla tamamladınız. Sizin aldığınız skor %%SCORE%% en yüksek skor %%TOTAL%%. Hakkınızdaki düşüncemiz %%RATING%%
Yanıtlarınız aşağıdaki gibidir.
Soru 1
A
A
B
B
C
C
D
D
E
E
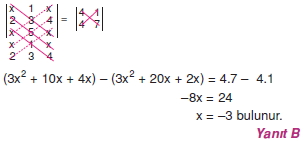
1 numaralı soru için açıklama
Soru 2
A
A
B
B
C
C
D
D
E
E
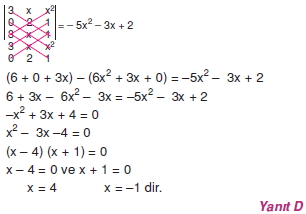
2 numaralı soru için açıklama
Soru 3
A
A
B
B
C
C
D
D
E
E
3 numaralı soru için açıklama
Soru 4
A
A
B
B
C
C
D
D
E
E
4 numaralı soru için açıklama
Soru 5
A
A
B
B
C
C
D
D
E
E
5 numaralı soru için açıklama
Soru 6
A
A
B
B
C
C
D
D
E
E
6 numaralı soru için açıklama
Soru 7
A
A
B
B
C
C
D
D
E
E
7 numaralı soru için açıklama
Soru 8
A
A
B
B
C
C
D
D
E
E
8 numaralı soru için açıklama
Soru 9
A
A
B
B
C
C
D
D
E
E
9 numaralı soru için açıklama
Soru 10
A
A
B
B
C
C
D
D
E
E
10 numaralı soru için açıklama
Soru 11
A
A
B
B
C
C
D
D
E
E
11 numaralı soru için açıklama
Soru 12
A
A
B
B
C
C
D
D
E
E
12 numaralı soru için açıklama
Soru 13
A
A
B
B
C
C
D
D
E
E
13 numaralı soru için açıklama
Soru 14
A
A
B
B
C
C
D
D
E
E
14 numaralı soru için açıklama
Soru 15
A
A
B
B
C
C
D
D
E
E
15 numaralı soru için açıklama
Soru 16
A
A
B
B
C
C
D
D
E
E
16 numaralı soru için açıklama
Soru 17
A
A
B
B
C
C
D
D
E
E
17 numaralı soru için açıklama
Soru 18
A
A
B
B
C
C
D
D
E
E
18 numaralı soru için açıklama
Soru 19
A
A
B
B
C
C
D
D
E
E
19 numaralı soru için açıklama
Soru 20
A
A
B
B
C
C
D
D
E
E
20 numaralı soru için açıklama
Sınavı tamamlamak için butona tıklayınız, yanlışlarınız gösterilecektir. Sonuçları al.
20 tamamladınız.
←
Liste
→
Geri dön
Tamamlananlar işaretlendi.
1
2
3
4
5
6
7
8
9
10
11
12
13
14
15
16
17
18
19
20
Son
Geri dön
Başarıyla tamamladınız.
sorular
soru
Aldığınız skor
Doğru
Yanlış
Partial-Credit
Sınavı henüz tamamlamadınız. Eğer sayfadan ayrılırsanız, verdiğiniz yanıtlar kaybolacak!
Correct Answer
You Selected
Not Attempted
Final Score on Quiz
Attempted Questions Correct
Attempted Questions Wrong
Questions Not Attempted
Total Questions on Quiz
Question Details
Results
Date
Score
İpucu
Time allowed
minutes
seconds
Time used
Answer Choice(s) Selected
Question Text
Sona erdi
Daha çok pratiğe ihtiyaç var
Böyle devam et
Kötü değil
İyi çalışıyor
Mükemmel
Yorum Yazarken Türkçe Kurallarına Uyarak Yazınız Lütfen!