• Sınıf Seçiniz

  • Branş Seçiniz

  • İçerik Türü

  • Ara

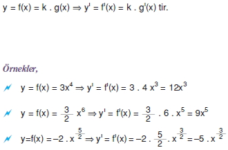
3. Bir Reel Sayı ile Bir Fonksiyonun Çarpımının Türevi

3. Bir Reel Sayı ile Bir Fonksiyonun Çarpımının Türevi

R ve g(x) fonksiyon olmak üzere,

Yorum Yazarken Türkçe Kurallarına Uyarak Yazınız Lütfen!

E-posta adresiniz yayınlanmayacak. Gerekli alanlar * ile işaretlenmişlerdir

Ana Menü